Fe-safe的功能增强

3DEXPERIENCE中的更新

说明:* 表示 SIMULIA.WORKS 角色
说明:* 表示 SIMULIA.WORKS 角色

焊接疲劳的增强

TCD的增强

在2022 FD02支持有限寿命分析,在2022 FD04中,进一步支持应力张量输出。

新增Fatemi-Socie算法

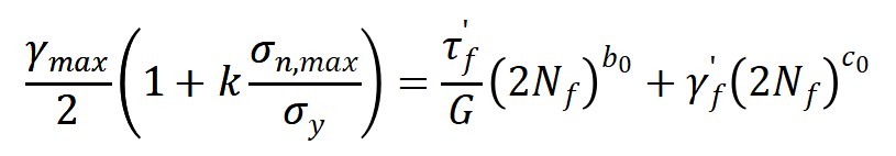
Fatemi-Socie疲劳算法自1988已经开始使用,实际上Brown-Miller算法通常足够精确, 但是满足客户的需求,增加了该算法。损伤计算公式如下:

实际计算过程中,需要扭转疲劳属性,在没有扭转疲劳属性的情况下,提供近似算法。默认情况下,执行最精确的循环数据提取,同时也支持切换到只使用循环终点数据。

热应力疲劳分析的增强

基于Fraunhofer IWM在过去20年开发的DTMF技术,可作为插件提供给相应的用户进行评估使用。与TURBOlife相比,需要的损伤参数更少。同样也是基于Miner准则计算累积损伤。

随机振动疲劳分析

即将迎来的更新

后续会持续针对3DEXPERIENCE和Fe-safe进行更新。针对3DEXPERIENCE,即将更新的内容包括:FKM焊接疲劳SSE可视化、疲劳载荷对话框的信号选择UX改进、DTMF 支持、耐久性分析案例中的疲劳算法重写、耐久性分析案例中的材料指派重写;针对Fe-safe,将对等效结构应力的计算进行修正,同时增强Brown-Miller 循环数据提取。具体更新时间以实际版本发布为准。